1. ВНИМАНИЕ! В течении пары дней +- будет переезд форума на более защищённый сервер. Возможны перебои в работе.
    Скрыть объявление

может кто поможет

Тема в разделе "ПЕСОЧНИЦА", создана пользователем floraldragon, 7 дек 2009.

  1. floraldragon

    floraldragon Форумчанин

    вот дали жене задачи по ТМОГИ решить, я сел и смотрю на это добро как баран на новые ворота (нифига не помню). Мож кто подмогнет, если не сложно...
     
  2. Так ты напиши задачу то.
     
  3. floraldragon

    floraldragon Форумчанин

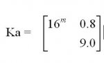
    Написать СКП функции U=x1+4x2 (в кубе), если Ка=(матрица) верхняя [16(в степени m);0.8] нижняя [0.8; 9] -кореляционная матрица аргументов x1=x2=1
    (Добавление)
    Вычислить СКП длины окружности, если ее радиуc R измерен с СКП Mr=0.051м
    (Добавление)
    вот еще одна
    Превышение по станции гометрического нивелирования получено как средняя из превышений при двух горизонтах инструмента с СКП=1 мм.
    Найти СКП отсчета по рейке.

    ответ я знаю какой а вот как облечь это в формулы не соображу.
     
  4. stout

    stout Форумчанин

    Уважаемый floraldragon! Вы хотя бы в Word'e формулку набрали и скриншотик сделали. А то ведь ни черта не понятно.
     
  5. floraldragon

    floraldragon Форумчанин

    извиняйте вот
     

    Вложения:

    • formula.jpg
      formula.jpg
      Размер файла:
      19,7 КБ
      Просмотров:
      262
  1. Этот сайт использует файлы cookie. Продолжая пользоваться данным сайтом, Вы соглашаетесь на использование нами Ваших файлов cookie.
    Скрыть объявление
  1. Этот сайт использует файлы cookie. Продолжая пользоваться данным сайтом, Вы соглашаетесь на использование нами Ваших файлов cookie.
    Скрыть объявление