1. ВНИМАНИЕ! В течении пары дней +- будет переезд форума на более защищённый сервер. Возможны периодические перебои в работе.

помогите с СКО/СКП

Тема в разделе "Геодезия как наука", создана пользователем rumpelshtitchen, 1 апр 2016.

  1. Дрончик1987

    Дрончик1987 Форумчанин


    Не могу. По ряду причин
     
  2. ardi.stroi

    ardi.stroi Форумчанин

    Объект режимный? Не бойся не стуканём.
     
  3. Дрончик1987

    Дрончик1987 Форумчанин

    ДА
     
  4. ardi.stroi

    ardi.stroi Форумчанин

    Закодируй данные на одно и тоже число.
     
    zvezdochiot нравится это.
  5. Deleted member 122005

    Deleted member 122005 Только чтение

    Здравствуйте. Если никак нельзя отправить файл, тогда хотя бы полученные невязки в полигонах и схему сети. Ну и расхождения в секциях в направлениях прямо-обратно. Оценка как раз может быть такой из-за расхождений в направлениях прямо-обратно. Потому что даже если по невязкам вы там в допуске, то в допустимую СКО можете не попадать, если во многих секциях невязки направлений прямо-обратно близки к предельно допустимым.

    Посмотрел сейчас в книжке (стр. 15) характеристики разрядного нивелирования. На мой скромный взгляд для таких СКО на станции (0.08 и 0.13 мм) допустимые невязки 0.3 и 0.5 мм на корень из числа станций слишком уж лояльны. Они используются в классном нивелировании короткими лучами (I и II классы) согласно ГОСТ 24846-2012 (см. пункт 6.3.2, таблица 3). В разрядном нивелировании требования в сравнении с классным, в общем, несколько более жёсткие. Совершенно непонятно, почему допустимые невязки устанавливаются одинаковыми, такого быть не должно. Вот очередной бардак в цифрах на свет вылез, понимаете ли... В связи с этим возникает вопрос, какие допустимые невязки использовали Вы? Такие же, как в книжке, или же что-то более жёсткое? Я бы принял допустимые невязки приближённо равные 0.2 и 0.4 мм на корень из числа станций для 1 и 2 разряда соответственно.

    Мои мысли по поводу связи допустимых невязок с СКО превышений можете найти здесь (два последних сообщения темы). Ну, это если вас конечно интересует "студенческая самодеятельность" по поводу бардака в цифрах различных допусков.
     
  6. Enot

    Enot Форумчанин

    Что это?
     
  7. Дрончик1987

    Дрончик1987 Форумчанин

    не понял. Вы спрашиваете что такое разрядное нивелирование?
     
  8. Enot

    Enot Форумчанин

    Именно.
    Я так понимаю, что по разрядам градируется исключительно нивелирование для гидротехнических узлов, ну может и для иных очень высокоточных сооружений. То есть там, где точности классного нивелирования недостаточно.
    Честно сказать, не встречал в практике деления на разряды. А вот ТЗ с требованиями к точности выше 1 класса встречались.
     
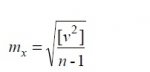
  9. lyoyha

    lyoyha Форумчанин

    Не верно. Так как математическое ожидание измеряемой величины в данном случае неизвестно, а известна лишь его оценка - среднее арифметическое, то СКО нужно определять в этом случае по этой формуле:
    8877.jpg ,
    которая называется формулой Бесселя. В Вашем примере СКО будет равно 2.16
     
    Андрей№№№ нравится это.
  10. zvezdochiot

    zvezdochiot Форумчанин

    На счёт правоты не претендую ни капли. А вот на логику ещё как претендую. А логика (особенно математическая) говорит, что коли среднее является производным от ВСЕХ, то ДОСТОВЕРНАЯ оценка примет вид:
    Код:
    sigma_x = sqrt[ 2 * sum{(x - x_cp)^2} / n ]
    
    Да, это не по учебнику, но именно такой вид подтверждается во смежных величинах. Вот такой вот пирожок. И рассказывать, что здеся вот так, а здеся не так, не надо. Это не соответствует именно математической логике.
     
    ardi.stroi нравится это.
  11. Deleted member 122005

    Deleted member 122005 Только чтение

    zvezdochiot, что за множитель 2 перед суммой квадратов уклонений от среднего? Ваша формула - это формула Гаусса умноженная на корень из 2, только в качестве значения, принимаемого за истинное, здесь принято среднее арифметическое.
    --- Сообщения объединены, 9 фев 2021, Оригинальное время сообщения: 9 фев 2021 ---
    Стоп, о какой оценке идёт речь? sigma_x - это у вас дисперсия или СКО?
     
  12. zvezdochiot

    zvezdochiot Форумчанин

    Расслабся, "студент". Тебе это не понадобится. Ты будешь пользоваться стандартными определениями ско. То, что я описал - это мысли вслух, имеющие правда и логическое, и практическое подтверждение. И нет, нет никакого множителя 2, есть делитель на 2. И нет никакого "истинного" значения в этой формуле именно из-за "множителя".
     
    ardi.stroi и Deleted member 122005 нравится это.
  13. Андрей№№№

    Андрей№№№ Форумчанин

    Таким образом, все Ваши измерения попадают в интервал от 3.36 до 7.31 с вероятностью 68.2% (плюс минус 1 СКО) и в интервал от 1.39 до 9.28 с вероятностью 95.4% (плюс минус 2 СКО).


    Поясните пожалуйств как считать доверительные интервалы?
     
  14. Deleted member 122005

    Deleted member 122005 Только чтение

    Исходя из доверительной вероятности. А доверительная вероятность определяется исходя из: 1) Числа измерений и/или определяемых пунктов/точек ; 2) Требований к надёжности получаемых величин.

    Ну, например... В случае тахеометрической съёмки (когда определение положения каждого конкретного пикета можно расценить как работу, которая почти не требует какой-либо надёжности) при числе пикетов порядка нескольких сотен, уровень доверительной вероятности можно полагать 99.7%. То есть около 3 измерений из 1000 могут выходить за рамки ± доверительный коэффициент.

    Другой пример. В случае измерений в высокоточной линейно-угловой сети (когда каждое измерение можно расценить как работу, которая требует высокой надёжности) при числе измерений порядка 2-3 десятков линий и углов, уровень доверительной вероятности можно полагать 95.4%. То есть около 1 измерения из 20 может выходить за рамки ± доверительный коэффициент.

    Доверительные вероятности, к слову, для двумерных величин (плановое положение, положение на сфере и т.п.) и одномерных величин (высота, координата, угол, линия, превышение и т.п.) соответствуют разным доверительным коэффициентам. Вот табличка:

    upload_2022-2-28_20-27-54.png
    --- Сообщения объединены, 28 фев 2022, Оригинальное время сообщения: 28 фев 2022 ---
    В таблице также представлены трёхмерные величины, в классической геодезии они не применяются, но находят применение в спутниковых методах, где нахождение координат спутникового приёмника является по сути пространственной задачей, которая не решается в плане и высоте в отдельности.
     
    Последнее редактирование модератором: 28 фев 2022
  1. Этот сайт использует файлы cookie. Продолжая пользоваться данным сайтом, Вы соглашаетесь на использование нами Ваших файлов cookie.
    Скрыть объявление
  1. Этот сайт использует файлы cookie. Продолжая пользоваться данным сайтом, Вы соглашаетесь на использование нами Ваших файлов cookie.
    Скрыть объявление